シミュレーションに用いたNPNバイポーラトランジスタのモデル
バンド図
I-V特性図
交流特性
2端子対回路のYパラメータ(実部)
2端子対回路のYパラメータ(虚部)
2端子対回路のS11, S22パラメータ
2端子対回路のS21, S12パラメータ
n型MOSFETのモデル図
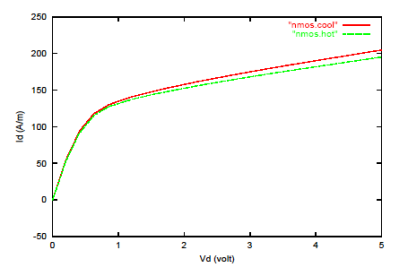
Id-Vd特性図
電子とホールの分布図
電子エネルギー分布図
シミュレーションに使用したデバイスモデル図
温度分布の鳥瞰図。Emitter付近で温度が高くなっています。
異なる温度におけるIc-Vc特性の比較。
使用したデバイスモデル図(LayerBuilderによる表示)。
デバイス中央部、縦方向のバンド図。
電流分布のベクトル表示。
I-V特性図(ドレイン)。
チャンネル層付近で局在した波動関数とエネルギーレベル。
TIP構造LED(左)とResonant Cavity LED(右)のモデル図。
TIP-LEDのレイトレーシング実行画面。
光出力の角度分布図。
光束のエネルギー分布図